Benchmark Problems¶
In this section several benchmark problems are introduced illustrating the capabilities of PFLOTRAN.
Ion Exchange¶
Voegelin et al. (2000) present results of ion exchange in a soil column for the system Ca-Mg-Na. Here PFLOTRAN is applied to this problem using the Gaines-Thomas exchange model. Soil column C1 with length 48.1 cm and diameter 0.3 cm was used for the simulations. A flow rate of 5.6 cm/min was used in the experiment. The inlet solution was changed during the coarse of the experiment at 20 and 65 pore volumes with cation compositions listed in Table 2 of Voegelin et al. (2000). The CEC of the soil used in the experiments was determined to have a value of 0.06 \(\pm\) 0.002 mol/kg. As PFLOTRAN requires the CEC in units of mol/m\(^3\) this was obtained from the formula
Using a porosity of 0.61, the solid grain density \(\density_s\) is given by
Breakthrough curves for Ca2+, Mg2+ and Na+ compared with experimental results from Voegelin et al. (2000).¶
for the mass density per pore volume \(\density_l\) = 1.94 g/cm\(^3\) with values from Voegelin et al. (2000). This gives for the site density per bulk volume \(\omega = 71.004\) mol/m\(^3\). The results of the simulation are shown in Figure 2 along with data reported by Voegelin et al. (2000). Self-sharpening fronts can be observed at approximately 10 and 71 at pore volumes, and a self-broadening front from 30-55 pore volumes where agreement with experiment is not as good.
The input file for the simulation is listed in Table [tionex].
PFLOTRAN Input File¶
#Description: 1D ion exchange problem
SIMULATION
SIMULATION_TYPE SUBSURFACE
PROCESS_MODELS
SUBSURFACE_TRANSPORT transport
MODE GIRT
/
/
END
SUBSURFACE
#=========================== numerical methods ================================
NUMERICAL_METHODS TRANSPORT
TIMESTEPPER
TS_ACCELERATION 8
MAX_STEPS 100000
/
NEWTON_SOLVER
PRECONDITIONER_MATRIX_TYPE AIJ
RTOL 1.d-8
ATOL 1.d-8
STOL 1.d-30
/
LINEAR_SOLVER
SOLVER DIRECT
/
END
SPECIFIED_VELOCITY
UNIFORM? YES
DATASET 5.69333e-4 0.d0 0.d0 m/yr
END
# == chemistry ================================================================
CHEMISTRY
PRIMARY_SPECIES
Na+
Ca++
#K+
Mg++
H+
HCO3-
Cl-
Tracer
/
SECONDARY_SPECIES
OH-
CO3--
CO2(aq)
CaOH+
CaCO3(aq)
CaHCO3+
CaCl+
MgCO3(aq)
MgHCO3+
MgCl+
HCl(aq)
#KCl(aq)
NaCl(aq)
NaOH(aq)
/
PASSIVE_GAS_SPECIES
CO2(g)
/
MINERALS
Halite
/
#
MINERAL_KINETICS
Halite
RATE_CONSTANT 1.e-30
/
/
SORPTION
ION_EXCHANGE_RXN
#MINERAL Halite
CEC 71.004 ! mol/m^3
CATIONS
Na+ 7.94328
Ca++ 1. REFERENCE
Mg++ 1.44544
/
/
/
DATABASE ../../../database/hanford.dat
LOG_FORMULATION
ACTIVITY_COEFFICIENTS ! NEWTON_ITERATION
MOLAL
OUTPUT
All
FREE_ION
TOTAL
/
END
# == reference variables ======================================================
REFERENCE_POROSITY 0.61d0
# == discretization ===========================================================
GRID
TYPE STRUCTURED
NXYZ 250 1 1
BOUNDS
0.d0 0.d0 0.d0
0.481d0 1.d0 1.d0
/
END
# == fluid properties =========================================================
FLUID_PROPERTY
DIFFUSION_COEFFICIENT 1.d-9
END
# == material properties ======================================================
MATERIAL_PROPERTY HD
ID 1
POROSITY 0.61
TORTUOSITY 1.0
#LONGITUDINAL_DISPERSIVITY 0.001
PERMEABILITY
PERM_ISO 5.43d-13
/
END
# == output ===================================================================
OUTPUT
TIMES s 10307.1 33498.2 41228.6
PRINT_COLUMN_IDS
PERIODIC_OBSERVATION TIMESTEP 1
#PERIODIC TIMESTEP 1
#PERIODIC TIME 0.04 y
SCREEN PERIODIC 10
#FORMAT HDF5
FORMAT TECPLOT POINT
#VELOCITIES
END
# == times ====================================================================
TIME
FINAL_TIME 41228.6 s
INITIAL_TIMESTEP_SIZE 1. s
MAXIMUM_TIMESTEP_SIZE 20. s
MAXIMUM_TIMESTEP_SIZE 1. s at 10200. s
MAXIMUM_TIMESTEP_SIZE 20. s at 10350 s
MAXIMUM_TIMESTEP_SIZE 1. s at 33300 s
MAXIMUM_TIMESTEP_SIZE 20. s at 33600 s
END
# == regions ==================================================================
REGION all
COORDINATES
-1.d20 -1.d20 -1.d20
1.d20 1.d20 1.d20
/
END
REGION west
FACE WEST
COORDINATES
0. 0. 0.
0. 1. 1.
/
END
REGION east
FACE EAST
COORDINATES
0.481 0. 0.
0.481 1. 1.
/
END
OBSERVATION
REGION east
END
# == transport conditions =====================================================
TRANSPORT_CONDITION Initial
TYPE DIRICHLET
CONSTRAINT_LIST
0.d0 Initial
/
END
TRANSPORT_CONDITION east
TYPE DIRICHLET
CONSTRAINT_LIST
0.d0 Initial
/
END
TRANSPORT_CONDITION west
TYPE DIRICHLET
CONSTRAINT_LIST
0.d0 Inlet1
10307.1 Inlet2
33498.2 Inlet3
/
END
# == couplers =================================================================
INITIAL_CONDITION Initial
TRANSPORT_CONDITION Initial
REGION all
END
BOUNDARY_CONDITION
TRANSPORT_CONDITION west
REGION west
END
BOUNDARY_CONDITION
TRANSPORT_CONDITION east
REGION east
END
# == stratigraphy =============================================================
STRATA
MATERIAL HD
REGION all
END
# == transport constraints ====================================================
CONSTRAINT Initial
CONCENTRATIONS
Na+ 4.65d-3 T
#K+ 2.d-4 T
Ca++ 5.2d-3 T
Mg++ 4.55e-3 T
H+ 4.6 pH
HCO3- -3.5 G CO2(g)
Cl- 1.d-3 Z
Tracer 4.65d-3 T
/
MINERALS
Halite 0.5 1.
/
END
CONSTRAINT Inlet1
CONCENTRATIONS
Na+ 1.d-16 T
#K+ 1.d-10 T
Ca++ 5.3d-3 T
Mg++ 1.e-16 T
H+ 4.6 pH
HCO3- -3.5 G CO2(g)
Cl- 3.d-4 Z
Tracer 9.4d-3 T
/
END
CONSTRAINT Inlet2
CONCENTRATIONS
Na+ 4.6d-3 T
#K+ 1.d-10 T
Ca++ 1.d-16 T
Mg++ 2.4e-3 T
H+ 4.6 pH
HCO3- -3.5 G CO2(g)
Cl- 3.d-4 Z
Tracer 9.4d-3 T
/
END
CONSTRAINT Inlet3
CONCENTRATIONS
Na+ 4.65d-3 T
#K+ 1.d-10 T
Ca++ 5.2d-3 T
Mg++ 4.55e-3 T
H+ 4.6 pH
HCO3- -3.5 G CO2(g)
Cl- 3.d-4 Z
Tracer 9.4d-3 T
/
END
END_SUBSURFACE
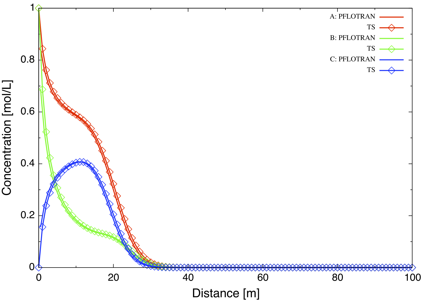
GENERAL_REACTION Example¶
Problem Description¶
A single irreversible reaction is considered of the form
for flow in a fully saturated 1D column of length 100 m with a Darcy velocity of 1 m/y, diffusion coefficient of \(10^{-9}\) m\(^2\)/s and porosity equal to 0.25. The conservation equation for advection, diffusion and reaction is given by
with stoichiometric coefficients \(\nu_A = 1\), \(\nu_B = 2\), and \(\nu_C=-1\). The flux \({\boldsymbol{F}}_l\) consists of contributions from advection and diffusion
The forward reaction rate is based on an elementary aqueous reaction
Dividing through by porosity (assuming \(\porosity\) = constant), the transport equation becomes
with average pore velocity
Initial and boundary conditions imposed on the solution are given by
Simulation Results¶
Results are shown in Figure 3 for the concentrations of species A, B, C at 5 years obtained from PFLOTRAN and a prototype code written in C++ based on the PETSc TS time stepping class. The code uses a backward Euler (TSBEULER) time integrator with nodes placed at the grid cell corners. The slight discrepancy between the results of the two codes may be due to the use of a finite volume cell-centered grid in PFLOTRAN, versus the corner-node grid used in the prototype code.
Comparison of concentrations for species A, B, C plotted as a function of distance for an elapsed time of 5 years for PFLOTRAN and a prototype code based on PETSc’s TS class.¶
PFLOTRAN Input File¶
#Description: 1D general reaction with the aqueous reaction A + 2 B -> C.
SIMULATION
SIMULATION_TYPE SUBSURFACE
PROCESS_MODELS
SUBSURFACE_TRANSPORT transport
MODE GIRT
/
/
END
SUBSURFACE
#=========================== useful tranport parameters ==================
UNIFORM_VELOCITY 1.d0 0.d0 0.d0 m/yr
REFERENCE_DENSITY 1000.d0
#=========================== chemistry ========================================
CHEMISTRY
PRIMARY_SPECIES
A(aq)
B(aq)
C(aq)
/
GENERAL_REACTION
REACTION A(aq) + 2 * B(aq) <-> C(aq)
FORWARD_RATE 5.d-8
BACKWARD_RATE 0.d0
/
DATABASE /Users/lichtner/pflotran/pflotran/database/hanford.dat
OUTPUT
all
TOTAL
/
END
#=========================== solver options ===================================
LINEAR_SOLVER TRANSPORT
SOLVER DIRECT
END
#=========================== discretization ===================================
GRID
TYPE structured
NXYZ 100 1 1
BOUNDS
0.d0 0.d0 0.d0
100.d0 100.d0 1.d0
/
END
#=========================== fluid properties =================================
FLUID_PROPERTY
DIFFUSION_COEFFICIENT 1.d-9
END
#=========================== material properties ==============================
MATERIAL_PROPERTY soil1
ID 1
POROSITY 0.25d0
TORTUOSITY 1.d0
ROCK_DENSITY 1650.d0
END
#=========================== output options ===================================
OUTPUT
TIMES y 5.
FORMAT TECPLOT POINT
END
#=========================== times ============================================
TIME
FINAL_TIME 5.d0 y
INITIAL_TIMESTEP_SIZE 1.d0 h
MAXIMUM_TIMESTEP_SIZE 1.d-2 y
END
#=========================== regions ==========================================
REGION all
COORDINATES
0.d0 0.d0 0.d0
100.d0 1.d0 1.d0
/
END
REGION west
FACE WEST
COORDINATES
0.d0 0.d0 0.d0
0.d0 1.d0 1.d0
/
END
REGION east
FACE EAST
COORDINATES
100.d0 0.d0 0.d0
100.d0 1.d0 1.d0
/
END
#=========================== transport conditions =============================
TRANSPORT_CONDITION initial
TYPE DIRICHLET
CONSTRAINT_LIST
0.d0 initial
/
END
TRANSPORT_CONDITION inlet
TYPE DIRICHLET
CONSTRAINT_LIST
0.d0 inlet
/
END
TRANSPORT_CONDITION outlet
TYPE ZERO_GRADIENT
CONSTRAINT_LIST
0.d0 inlet
/
END
#=========================== constraints ======================================
CONSTRAINT initial
CONCENTRATIONS
A(aq) 1.d-16 T
B(aq) 1.d-16 T
C(aq) 1.d-16 T
/
END
CONSTRAINT inlet
CONCENTRATIONS
A(aq) 1.d0 T
B(aq) 1.d0 T
C(aq) 1.d-16 T
/
END
#=========================== condition couplers ===============================
# initial condition
INITIAL_CONDITION
TRANSPORT_CONDITION initial
REGION all
END
BOUNDARY_CONDITION outlet
TRANSPORT_CONDITION outlet
REGION east
END
BOUNDARY_CONDITION inlet
TRANSPORT_CONDITION inlet
REGION west
END
#=========================== stratigraphy couplers ============================
STRATA
REGION all
MATERIAL soil1
END
END_SUBSURFACE
RICHARDS Mode with Tracer: SX-115 Hanford Tank Farm¶
Problem Description¶
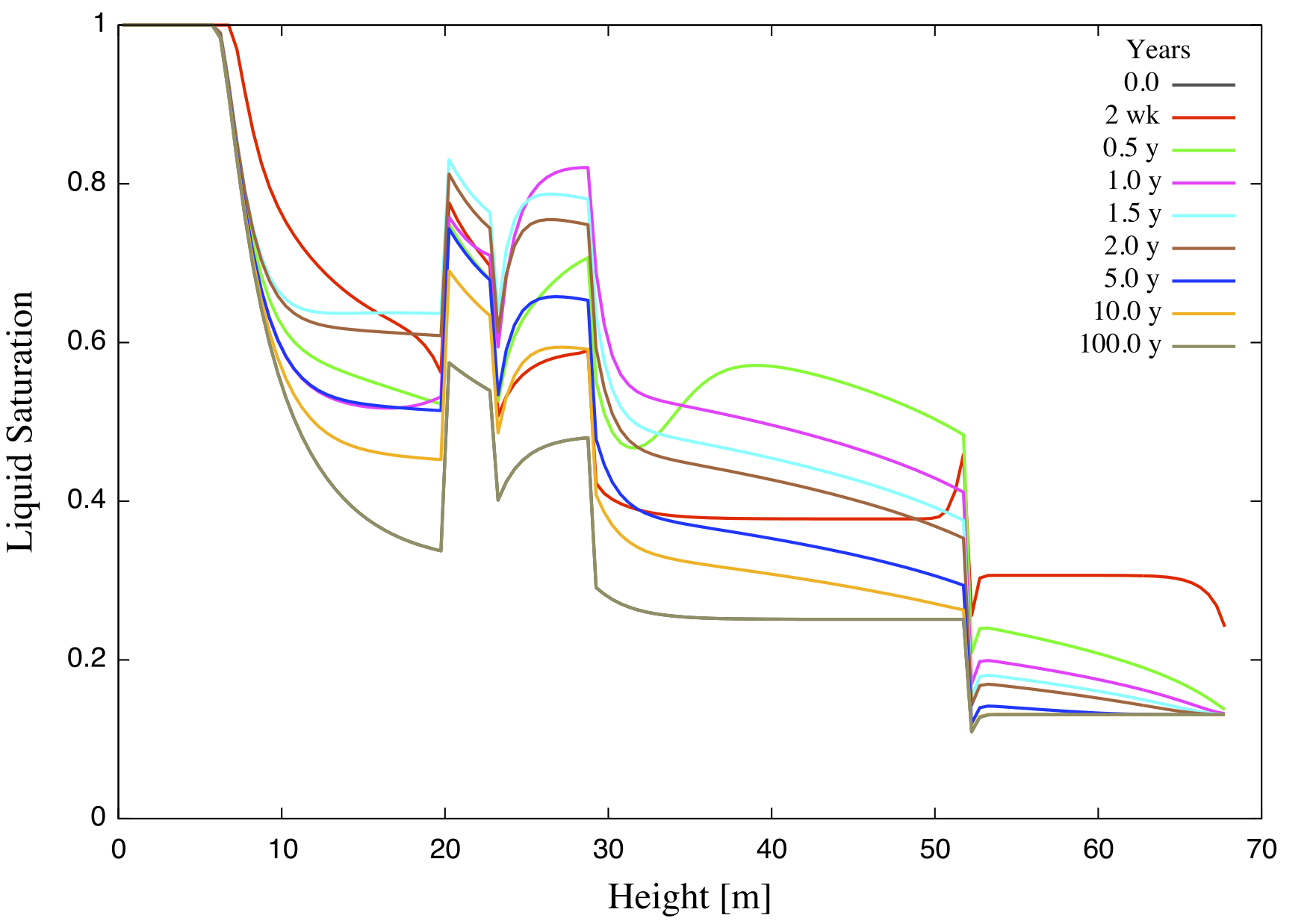
The saturation profile is computed for both steady-state and transient conditions in a 1D vertical column consisting of a layered porous medium representing the Hanford sediment in the vicinity of the S/SX tank farm. The transient case simulates a leak from the base of the SX-115 tank. This problem description is taken from Lichtner et al. (2004).
Governing Equations¶
The moisture profile is calculated using parameters related to the Hanford sediment at the S/SX tank farm based on the Richards equation for variably saturated porous media. The Hanford sediment is composed of five layers with the properties listed in Tables [t1] and [t2]. The governing equations consist of Richards equation for variably saturated fluid flow given by
and solute transport of a tracer
In these equations \(\porosity\) denotes the spatially variable porosity of the porous medium assumed to constant within each stratigraphic layer, \(s\) gives the saturation state of the porous medium, \(\density\) represents the fluid density in general a function of pressure and temperature, \(C\) denotes the solute concentration, \(D\) denotes the diffusion/dispersion coefficient, \(\tortuosity\) represents tortuosity, \(Q\) and \(Q_C\) denote source/sink terms, and \({\boldsymbol{q}}\) denotes the Darcy velocity defined by
with saturated permeability \(k_{\rm sat}\), relative permeability \(k_r\), fluid viscosity \(\mu\), pressure \(p\), formula weight of water \(W\), acceleration of gravity \(g\), and height \(z\). Van Genuchten capillary properties are used for relative relative permeability according to the relation
where \(s_{\rm eff}\) is related to capillary pressure \(P_c\) by the equation
where \(s_{\rm eff}\) is defined by
and where \(s_r\) denotes the residual saturation. The quantity \(n\) is related to \(m\) by the expression
The capillary pressure \(P_c\) and fluid pressure \(p\) are related by the (constant) gas pressure \(p_g^0\)
where \(p_g^0 = 101,325\) Pa is set to atmospheric pressure.
Semi-Analytical Solution for Steady-State Conditions¶
For steady-state conditions the saturation profile satisfies the equation
or assuming an incompressible fluid
where \(q_z^0\) denotes infiltration at the surface. Thus the pressure is obtained as a function of \(z\) by solving the ODE
using Eqns. (1) and (2) to express the relative permeability \(k_r\) as a function of pressure. For the special case of zero infiltration it follows that
with \(p(z_0) = p_0\). The saturation profile is obtained from Eqns. (2) and (3).
Watertable¶
The position of the watertable is defined by vanishing of the capillary pressure
where \(z_{\rm wt}\) denotes the height of the watertable. For the case with no infiltration at the surface it follows that
with the boundary condition \(p(z_0) = p_0\) and \(z_0\) denotes the datum. If \(p_0\) is set equal to \(p_g\), then \(z_{\rm wt} = z_0\), or the height of the watertable is equal to the datum. The same holds true also with constant nonzero infiltration.
Model Parameters¶
Model parameters used in the simulations are listed in Table 1 and Table 2. Although not needed here, thermal properties are also listed. Diffusivity was set to \(10^{-9}\) m\(^2\) s\(^{-1}\) and tortuosity was set to one.
Formation |
Abbrev. |
Thickness [m] |
|---|---|---|
Backfill |
BF |
16.0 |
Hanford Fine Sand |
HF |
23.0 |
Plio-Pleistocene |
PP |
6.0 |
Upper Ringold Gravel |
URG |
3.0 |
Middle Ringold Gravel |
MRG |
20.0 |
Formation: |
||||||
|---|---|---|---|---|---|---|
Property |
[units] |
BF |
HF |
PP |
URG |
MRG |
\(\density_s\) |
[g cm\(^{-3}\)] |
2.8 |
2.8 |
2.8 |
2.8 |
2.8 |
\(c\) |
[J kg\(^{-1}\) K\(^{-1}\)] |
800 |
800 |
800 |
800 |
800 |
\(\kappa_{\rm dry}\) |
[W m\(^{-1}\) K\(^{-1}\)] |
0.5 |
0.5 |
0.5 |
0.5 |
0.5 |
\(\kappa_{\rm wet}\) |
[W m\(^{-1}\) K\(^{-1}\)] |
2 |
2 |
2 |
2 |
2 |
\(\porosity\) |
[—] |
0.2585 |
0.3586 |
0.4223 |
0.2625 |
0.1643 |
\(s_r\) |
[—] |
0.0774 |
0.0837 |
0.2595 |
0.2130 |
0.0609 |
\(\alpha\) |
[Pa\(^{-1}\)] |
1.008e-3 |
9.408e-5 |
6.851e-5 |
2.966e-5 |
6.340e-5 |
\(m\) |
[—] |
0.658 |
0.4694 |
0.4559 |
0.3859 |
0.3922 |
\(k_{\mathrm{sat}}\) |
[ m\(^2\)] |
1.240e-12 |
3.370e-13 |
3.735e-14 |
1.439e-13 |
2.004e-13 |
Simulation Results¶
The calculations are carried out for an isothermal system using Richards equation. First, the steady-state saturation profile is obtained without the tank leak present. Then using the steady-state profile as the initial condition the tank leak is turned on. This can be easily accomplished using CHECKPOINTING and RESTART keywords. The results for the steady-state saturation and pressure profiles are shown in Figure 4 for infiltration rates at the surface of 0, 8 and 80 mm/y. The mean infiltration rate at the Hanford site is approximately 8 mm/y. A 1D column 68 m heigh with the water table located at a height of 6 m from the bottom is used in the simulation. A uniform grid spacing of 0.5 m is used to discretize Richards equation.
Shown in Figure 5 is the saturation at different times following a two week leak releasing 60,000 gallons from the SX-115 tank at a depth of 16 m. In the simulation a release rate of \(1.87 \times 10^{-3}\) kg/s is used.
Steady-state saturation and pressure profiles for infiltration rates of 0, 8 and 80 mm/y. The water table is located at 6 m from the bottom of the computational domain.¶
Simulation of a tank leak with a duration of two weeks showing the saturation profile for different times indicated in the figure for an infiltration rate of 8 mm/y.¶
The solute concentration profile corresponding to the above figure for different times indicated in the figure for an infiltration rate of 8 mm/y.¶
PFLOTRAN Input File¶
Listing for the PFLOTRAN input file coupling Richards mode to a tracer
is given below. Note that the stratigraphic zone specification in
REGION is grid independent as is the grid size specification in
keyword GRID. Therefore to change the grid spacing only the
line:NXYZ 1 1 136, needs to be changed. Also note that lines
beginning with # are read as a comment as is input following !.
Note that the input file looks for the RESTART file for the transient
run in the subdirectory: ./ss/sx115-restart.chk.
PFLOTRAN input file sx115.in:
#Description: 1D test problem for tracer transport for Hanford SX-115 waste tank.
SIMULATION
SIMULATION_TYPE SUBSURFACE
PROCESS_MODELS
SUBSURFACE_FLOW flow
MODE RICHARDS
/
SUBSURFACE_TRANSPORT transport
MODE GIRT
/
/
END
SUBSURFACE
#=========================== chemistry ========================================
CHEMISTRY
PRIMARY_SPECIES
Tracer
/
OUTPUT
all
FREE_ION
/
END
#=========================== runtime ==========================================
#CHECKPOINT 100000
RESTART ./ss/sx115-restart.chk 0.d0
#OVERWRITE_RESTART_TRANSPORT
#WALLCLOCK_STOP 11.75
#=========================== solver options ===================================
TIMESTEPPER FLOW
#MAX_STEPS -1
TS_ACCELERATION 8
INITIALIZE_TO_STEADY_STATE 1.d0
END
NEWTON_SOLVER FLOW
#RTOL 1.d-12
RTOL 1.d-20
#ATOL 1.d-12
#STOL 1.e-60
#DTOL 1.e4
ITOL_UPDATE 1.d0
#NO_INFINITY_NORM
#NO_PRINT_CONVERGENCE
#PRINT_DETAILED_CONVERGENCE
END
LINEAR_SOLVER FLOW
#KSP_TYPE GMRES
#PC_TYPE NONE
#KSP_TYPE PREONLY
#PC_TYPE LU
#SOLVER GMRES
END
NEWTON_SOLVER TRANSPORT
RTOL 1.d-12
ATOL 1.d-12
STOL 1.e-60
DTOL 1.e4
#ITOL_UPDATE 1.d-4
#NO_INFINITY_NORM
#NO_PRINT_CONVERGENCE
#PRINT_DETAILED_CONVERGENCE
END
LINEAR_SOLVER TRANSPORT
#KSP_TYPE GMRES
#PC_TYPE NONE
#KSP_TYPE PREONLY
#PC_TYPE LU
#SOLVER GMRES
END
#=========================== discretization ===================================
GRID
TYPE structured
ORIGIN 0.d0 0.d0 0.d0
NXYZ 1 1 136
BOUNDS
0.d0 0.d0 0.d0
1.d0 1.d0 68.d0
/
END
#=========================== fluid properties =================================
FLUID_PROPERTY
DIFFUSION_COEFFICIENT 1.d-9
END
#=========================== material properties ==============================
MATERIAL_PROPERTY Backfill
ID 1
POROSITY 0.2585d0
TORTUOSITY 0.5d0
SATURATION_FUNCTION BF
PERMEABILITY
PERM_X 1.24e-12
PERM_Y 1.24e-12
PERM_Z 1.24e-12
/
END
MATERIAL_PROPERTY Hanford-Fine-Sand
ID 2
POROSITY 0.3586
TORTUOSITY 0.5d0
SATURATION_FUNCTION HF
PERMEABILITY
PERM_X 3.37028e-13
PERM_Y 3.37028e-13
PERM_Z 3.37028e-13
/
END
MATERIAL_PROPERTY Plio-Pleistocene
ID 3
POROSITY 0.4223d0
TORTUOSITY 0.5d0
SATURATION_FUNCTION PP
PERMEABILITY
PERM_X 3.73463e-14
PERM_Y 3.73463e-14
PERM_Z 3.73463e-14
/
END
MATERIAL_PROPERTY Upper-Ringold-Gravel
ID 4
POROSITY 0.2625d0
TORTUOSITY 0.5d0
SATURATION_FUNCTION URG
PERMEABILITY
PERM_X 1.4392e-13
PERM_Y 1.4392e-13
PERM_Z 1.4392e-13
/
END
MATERIAL_PROPERTY Middle-Ringold-Gravel
ID 5
POROSITY 0.1643
TORTUOSITY 0.5d0
SATURATION_FUNCTION MRG
PERMEABILITY
PERM_X 2.00395e-13
PERM_Y 2.00395e-13
PERM_Z 2.00395e-13
/
END
#=========================== saturation functions =============================
CHARACTERISTIC_CURVES BF
SATURATION_FUNCTION VAN_GENUCHTEN
M 0.6585d0
ALPHA 1.008d-3
LIQUID_RESIDUAL_SATURATION 0.0774
/
PERMEABILITY_FUNCTION MUALEM_VG_LIQ
M 0.6585d0
LIQUID_RESIDUAL_SATURATION 0.0774
/
END
CHARACTERISTIC_CURVES HF
SATURATION_FUNCTION VAN_GENUCHTEN
M 0.46944d0
ALPHA 9.40796d-5
LIQUID_RESIDUAL_SATURATION 0.08366d0
/
PERMEABILITY_FUNCTION MUALEM_VG_LIQ
M 0.46944d0
LIQUID_RESIDUAL_SATURATION 0.08366d0
/
END
CHARACTERISTIC_CURVES PP
SATURATION_FUNCTION VAN_GENUCHTEN
M 0.45587d0
ALPHA 6.85145d-5
LIQUID_RESIDUAL_SATURATION 0.25953d0
/
PERMEABILITY_FUNCTION MUALEM_VG_LIQ
M 0.45587d0
LIQUID_RESIDUAL_SATURATION 0.25953d0
/
END
CHARACTERISTIC_CURVES URG
SATURATION_FUNCTION VAN_GENUCHTEN
M 0.38594d0
ALPHA 2.96555d-5
LIQUID_RESIDUAL_SATURATION 0.21295d0
/
PERMEABILITY_FUNCTION MUALEM_VG_LIQ
M 0.38594d0
LIQUID_RESIDUAL_SATURATION 0.21295d0
/
END
CHARACTERISTIC_CURVES MRG
SATURATION_FUNCTION VAN_GENUCHTEN
M 0.39217d0
ALPHA 6.34015e-5
LIQUID_RESIDUAL_SATURATION 0.06086d0
/
PERMEABILITY_FUNCTION MUALEM_VG_LIQ
M 0.39217d0
LIQUID_RESIDUAL_SATURATION 0.06086d0
/
END
#=========================== output options ===================================
OUTPUT
#SCREEN PERIODIC 10
#MASS_BALANCE
TIMES y 0.0383562 0.5 1.0 1.5 2.0 5.0 10.0 25. 50. 75. 100.
FORMAT TECPLOT POINT
# VELOCITIES
PRINT_COLUMN_IDS
PERIODIC_OBSERVATION TIMESTEP 1
END
#=========================== times ============================================
TIME
FINAL_TIME 100.d0 y
INITIAL_TIMESTEP_SIZE 1.d-6 y
MAXIMUM_TIMESTEP_SIZE 1.d-2 y
MAXIMUM_TIMESTEP_SIZE 1.d0 y at 10 y
MAXIMUM_TIMESTEP_SIZE 10.d0 y at 100 y
END
#=========================== regions ==========================================
REGION all
COORDINATES
0.d0 0.d0 0.d0
1.d0 1.d0 136.d0
/
END
REGION MRG
COORDINATES
0.d0 0.d0 0.d0
1.d0 1.d0 20.d0
/
END
REGION URG
COORDINATES
0.d0 0.d0 20.d0
1.d0 1.d0 23.d0
/
END
REGION PP
COORDINATES
0.d0 0.d0 23.d0
1.d0 1.d0 29.d0
/
END
REGION HF
COORDINATES
0.d0 0.d0 29.d0
1.d0 1.d0 52.d0
/
END
REGION BF
COORDINATES
0.d0 0.d0 52.d0
1.d0 1.d0 68.d0
/
END
#=============boundaries=================
REGION west
FACE WEST
COORDINATES
0.d0 0.d0 0.d0
0.d0 1.d0 68.d0
/
END
REGION east
FACE EAST
COORDINATES
1.d0 0.d0 0.d0
1.d0 1.d0 68.d0
/
END
REGION north
FACE NORTH
COORDINATES
0.d0 1.d0 0.d0
1.d0 1.d0 68.d0
/
END
REGION south
FACE SOUTH
COORDINATES
0.d0 0.d0 0.d0
1.d0 0.d0 68.d0
/
END
REGION top
FACE TOP
COORDINATES
0.d0 0.d0 68.d0
1.d0 1.d0 68.d0
/
END
REGION bottom
FACE BOTTOM
COORDINATES
0.d0 0.d0 0.d0
1.d0 1.d0 0.d0
/
END
REGION well
COORDINATES
1.d0 1.d0 52.d0
1.d0 1.d0 52.d0
/
END
#=========================== flow conditions ==================================
FLOW_CONDITION initial
TYPE
LIQUID_PRESSURE HYDROSTATIC
/
DATUM 0.d0 0.d0 6.d0
LIQUID_PRESSURE 101325.d0
END
FLOW_CONDITION infiltration
TYPE
LIQUID_FLUX NEUMANN
/
# LIQUID_FLUX 2.53678e-8 ! 0.08 m/yr
# LIQUID_FLUX 2.53678e-9 ! 0.08 m/yr
LIQUID_FLUX 2.53678e-10 ! 8 mm/yr
# LIQUID_FLUX 0.d0
END
FLOW_CONDITION water_table
TYPE
LIQUID_PRESSURE HYDROSTATIC
/
DATUM 0.d0 0.d0 6.d0
LIQUID_PRESSURE 101325.d0
#PRESSURE 1.4e5 ! 200 meter piezometric head (200*997.32*9.81)
END
FLOW_CONDITION source
TYPE
RATE mass_rate
/
RATE LIST
TIME_UNITS s
DATA_UNITS kg/s
0. 0.187e-4
1.21293e6 0.
/
END
#=========================== transport conditions =============================
TRANSPORT_CONDITION initial
TYPE ZERO_GRADIENT
CONSTRAINT_LIST
0.d0 initial
/
END
TRANSPORT_CONDITION boundary
TYPE ZERO_GRADIENT
CONSTRAINT_LIST
0.d0 initial
/
END
TRANSPORT_CONDITION infiltration
TYPE DIRICHLET
CONSTRAINT_LIST
0.d0 infiltration
/
END
TRANSPORT_CONDITION source
TYPE DIRICHLET
CONSTRAINT_LIST
0.d0 well
/
/
#=========================== condition couplers ===============================
# initial condition
INITIAL_CONDITION
FLOW_CONDITION initial
TRANSPORT_CONDITION initial
REGION all
END
# top boundary condition
BOUNDARY_CONDITION top
#FLOW_CONDITION initial
FLOW_CONDITION infiltration
TRANSPORT_CONDITION initial
REGION top
END
# bottom boundary condition
BOUNDARY_CONDITION bottom
FLOW_CONDITION water_table
TRANSPORT_CONDITION initial
REGION bottom
END
# well source/sink
#skip
SOURCE_SINK well
FLOW_CONDITION source
TRANSPORT_CONDITION source
REGION well
END
#noskip
# infiltration source/sink
skip
SOURCE_SINK infil
FLOW_CONDITION infiltration
TRANSPORT_CONDITION infiltration
REGION top
END
noskip
#=========================== stratigraphy couplers ============================
STRATA
REGION MRG
MATERIAL Middle-Ringold-Gravel
END
STRATA
REGION URG
MATERIAL Upper-Ringold-Gravel
END
STRATA
REGION PP
MATERIAL Plio-Pleistocene
END
STRATA
REGION HF
MATERIAL Hanford-Fine-Sand
END
STRATA
REGION BF
MATERIAL Backfill
END
skip
STRATA
REGION all
MATERIAL Middle-Ringold-Gravel
END
noskip
#=========================== constraints ======================================
CONSTRAINT well
CONCENTRATIONS
Tracer 1.d0 T
/
END
CONSTRAINT infiltration
CONCENTRATIONS
Tracer 1.d0 T
/
END
CONSTRAINT initial
CONCENTRATIONS
Tracer 1.d-16 T
/
END
END_SUBSURFACE
MPHASE¶
\(\mathrm{CO_2}\) Sequestration: 1D Example Problem and Comparison with TOUGHREACT¶
This example problem involves sequentially coupling of
MPHASE and CHEMISTRY. The chemical system consists of four
primary species and 5 secondary species. Supercritical
\(\mathrm{CO_2}\) is injected into a well located at the west
boundary. A Dirichlet pressure boundary condition is imposed at the east boundary
and no flow at the west boundary. The problem definition with associated parameters is given in
Table [tco2].
Description |
Symbol |
Value |
|---|---|---|
Domain |
\(l\) |
100 m |
Permeability |
\(k\) |
\(10^{-15}\) m\(^2\) |
Porosity |
\(\porosity\) |
0.12 |
Tortuosity |
\(\tortuosity\) |
1 |
Injection Rate |
\(Q_{{\rm CO_2}}\) |
\(5\times 10^{-5}\) kg/s, duration 0.4 y |
Characteristic Curves |
modified van Genuchten |
|
\(\lambda\) |
0.6 |
|
\({{\alpha}}\) |
\(1.9 \times 10^{-5}\) Pa\(^{-1}\) |
|
\(s_{rl}\) |
0 |
|
\(s_{rg}\) |
0 |
|
\(P_c^{\rm max}\) |
\(10^7\) Pa |
|
Rock Density |
\(\density_r\) |
2650 kg/m\(^3\) |
Rock Specific Heat |
\(c_r\) |
1000 J/kg/K |
Rock Thermal Conductivity |
\(\kappa_{\rm wet,\,dry}\) |
0.5 W/m/K |
Table: Problem definition and parameters used in the 1D \(\mathrm{CO_2}\) sequestration example.
The PFLOTRAN initial aqueous solution corresponds to a brine with NaCl concentration of 0.5 m. Mineral reactions are not considered. The initial fluid composition taken from pflotran.out is listed in Table [tinitial_co2].
Transport Condition: Initial |
|---|
iterations: 20 |
pH: 5.0273 |
ionic strength: 4.7915E-01 [mol/L] |
charge balance: 1.1102E-16 |
pressure: 1.6450E+07 [Pa] |
temperature: 54.50 [C] |
density H2O: 992.99 [kg/m^3] |
ln / activity H2O: 0.0000E+00 1.0000E+00 [—] |
mole fraction H2O: 9.8093E-01 [—] |
mass fraction H2O: 9.7160E-01 [—] |
primary species |
free molal |
total molal |
act coef |
constraint |
|---|---|---|---|---|
H+ |
1.1727E-05 |
2.5844E-17 |
8.0079E-01 |
chrg |
Na+ |
4.7913E-01 |
5.0000E-01 |
6.8288E-01 |
total aq |
Cl- |
4.7913E-01 |
5.0000E-01 |
6.4459E-01 |
total aq |
CO2(aq) |
1.1380E-04 |
1.2551E-04 |
1.1053E+00 |
CO2(g) |
complex |
molality |
act coef |
logK |
|---|---|---|---|
NaCl(aq) |
2.0866E-02 |
1.0000E+00 |
6.8511E-01 |
HCO3- |
1.1713E-05 |
6.8288E-01 |
6.2239E+00 |
OH- |
1.2056E-08 |
6.6467E-01 |
1.3123E+01 |
NaOH(aq) |
1.6487E-09 |
1.0000E+00 |
1.3325E+01 |
CO3– |
3.2433E-10 |
2.0899E-01 |
1.6323E+01 |
The defining equations for the saturation and relative permeability functions for the aqueous solution and supercritical \(\mathrm{CO_2}\) are given by the van Genuchten -Corey relations. For the aqueous solution van Genuchten curves are used for capillary pressure \(P_c\)
and relative permeability \(k_{rl}\)
with effective saturation \(s_e\) defined by
For the supercritical \(\mathrm{CO_2}\) phase the Corey curve is used defined by
with
Shown in Figure 6 is a comparison of PFLOTRAN with TOUGHREACT (TOUGHREACT results provided by Alt-Epping and Wanner, private communication). The same thermodynamic database is used for both codes. Only slight differences can be seen. The \(\mathrm{CO_2}\) aqueous and total concentrations are essentially identical for PFLOTRAN in the low pH region where supercritical \(\mathrm{CO_2}\) is present, with slight differences for TOUGHREACT.
Comparison with TOUGHREACT (dashed curves) and PFLOTRAN (solid curves) after an elapsed time of 0.4 y corresponding to the end of injection. Reasonable agreement is obtained between the two codes.¶
Liquid (blue curve) and supercritical \(\mathrm{CO_2}\) (red curve) pressures predicted by PFLOTRAN after an elapsed time of 0.4 y corresponding to the end of injection. Also shown is the \(\mathrm{CO_2}\) saturation (green curve).¶
Note that the \(\mathrm{CO_2}\) aqueous concentration (and mole fraction \(X_{\rm CO_2}\) although not visible in the figure) obtained from PFLOTRAN is not exactly constant. This is caused, presumably, by a change in pressure as shown in Figure 7 for the liquid and \(\mathrm{CO_2}\) pressures in addition to the \(\mathrm{CO_2}\) saturation \(s_{\rm CO_2}\).
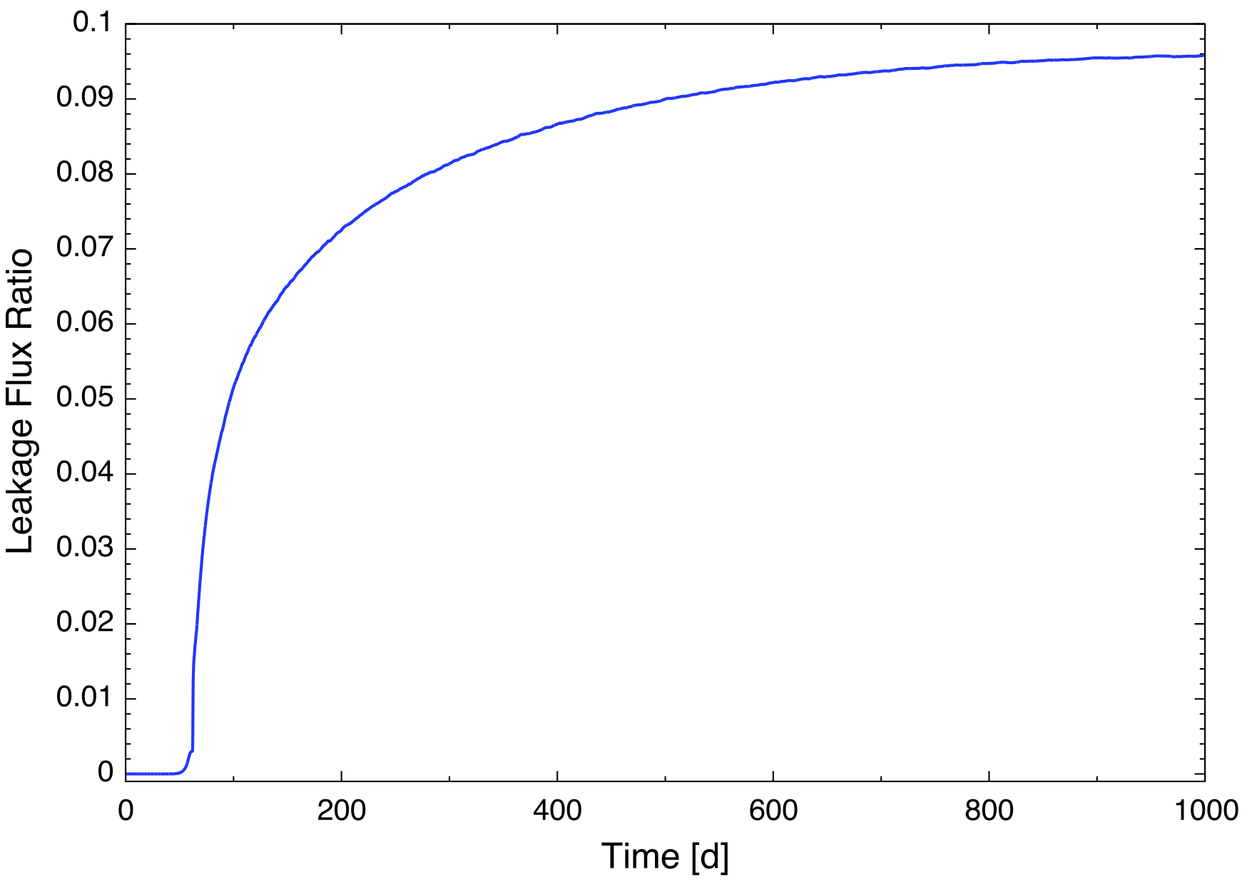
\(\mathrm{CO_2}\) Sequestration in the Presence of a Leaky Well¶
The simulation domain has a lateral extent of \(1,000\times 1,000\) m and vertical height of 160 m. The leaky well is at the center of the domain and the injection well is 100 m east. There are two aquifers at the top and bottom of the domain, each 30 m thick, and an aquitard with thickness of 100 m sandwiched between the two aquifers. The leaky well is modeled as a porous medium with a higher permeability compared to the formation. Parameter values used in the simulation are listed in Table [tleaky_params]. Other parameters used for characteristic curves, heat conduction, etc. may be found in the input file listing (see Table [tleaky-co2in]).
The initial conditions consist of hydrostatic pressure, and isothermal temperature of 34\(^\circ\)C. The initial pressure at the bottom of the domain is \(3.086\times 10^7\) Pa (at 3,000 m depth). At the lateral boundaries, hydrostatic boundary conditions are imposed on the system. The boundaries at the top and bottom of the domain are no flow boundary conditions. \(\mathrm{CO_2}\) is injected at a constant rate of 8.87 kg/s for the duration of the simulation of 1000 days and at a constant temperature of 33.6\(^\circ\)C.
The computational domain was discretized into \(200 \times 200 \times 32\) grid blocks with spacing \(\Delta x = \Delta y = 5\) m, and \(\Delta z = 5\) m. The total number of degrees of freedom are 3,840,000. The problem was run on 512 processes on the supercomputer Yellowstone at the NCAR-Wyoming Supercomputing Center.
Unit |
Permeability [m:math:^2] |
Porosity [—] |
Depth [m] |
|---|---|---|---|
Aquifer |
\(2 \times 10^{-14}\) |
0.15 |
0–30, 130–160 |
Aquitard |
\(1 \times 10^{-18}\) |
0.15 |
30–130 |
Leaky well |
\(1 \times 10^{-12}\) |
0.15 |
0–160 |
Table: Model parameters.
Results of the simulation for an elapsed time of 250 days are shown in Figure 8 for liquid pressure and saturation of supercritical CO2. Supercritical CO2 proceeds up the leaky well until it ponds at the top of the domain where a closed boundary is imposed.
The leakage of CO2 through the leaky well as a function of time is shown in Figure 9. This is defined as the CO2 mass flow midway between the top and bottom domain divided by the injection rate. The maximum value in the leak occurs at approximately 800 d. The leak begins at approximately 50 d. The results can be compared to Ebigo et al. (2007), Figure 8. It should be noted that the leakage rate is highly sensitive to the lateral grid spacing.
Leakage rate relative to injection rate.¶